Appearance
Liii STEM's Mathematical Formula Quick Editing
Liii STEM has an independent Math Mode that supports easy handling of mathematical formula insertion, editing, numbering, and referencing. It also integrates shortcuts such as Lego Symbols, Tab Cycling, and Magic Paste to help you efficiently complete formula writing.
At the same time, this guide compares the operational differences between Liii STEM and LaTeX to achieve the same effects, allowing you to intuitively experience our professionalism and convenience.
1 Formula Insertion Methods and Effect Display
1.1 Switching to "Math Mode"
To ensure absolute format standardization, Liii STEM has an independent mathematical environment called "Math Mode". All mathematical formula functions are implemented based on Math Mode.
Note: Do not enter text or other content in Math Mode.
- You can use the
$shortcut to enter Math Mode. - In Text Mode, the buttons in the Mode Toolbar are mostly related to inserting various environments, such as inserting "Section"; while in Math Mode, we have set up more mathematical symbols in the Mode Toolbar.
- The figure below shows the specific styles of the Mode Toolbar in different modes (default theme).

1.2 Inserting Formulas
Method 1: Menu Bar Buttons
In the menu bar, click Insert, click Math, and then select the type of formula you want to insert.

Method 2: Mode Toolbar Buttons
In Text Mode, click the π button on the Mode Toolbar to choose to insert inline formulas, single-line formulas, or multi-line formulas.

Method 3: Keyboard Shortcuts
- Inline formula:
$ - Single-line formula:
Alt+$ - Multi-line formula in eqnarray format:
Alt+&
1.3 Final Effect Presentation and LaTeX Comparison
1.3.1 Inline Formula
- Effect diagram:

- Comparison with LaTeX writing:latex
\textbf{Inline formula}$\alpha \neq \beta$
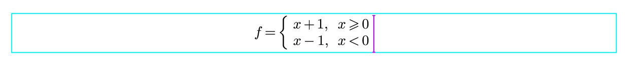
1.3.2 Single-line Formula
- Effect diagram:

- Comparison with LaTeX writing:latex
\begin{itemize} \item \textbf{Displayed formula} \[ e^x = 1 + x + \frac{x^2}{2!} + \frac{x^3}{3!} + \cdots \quad (-\infty < x < \infty ). \] \end{itemize}
1.3.3 Multi-line Formula
Liii STEM provides two formats for multi-line formulas, as detailed below.
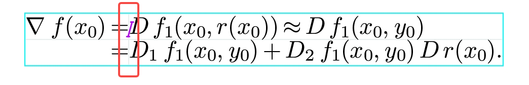
Multi-line Formula in eqnarray Format
That is, "equation array" format. Can be implemented through menu bar, mode toolbar, and shortcut methods.
- Effect diagram:

- Comparison with LaTeX writing:latex
\begin{eqnarray*} \left.\nabla f(x_0)\right| &=& D f_1(x_0, r(x_0)) \approx D f_1(x_0, y_0) \\ &=& D_1 f_1(x_0, y_0) + D_2 f_1(x_0, y_0) D r(x_0) \end{eqnarray*}
Note: Due to issues such as inconsistent spacing around symbols in this format, it has been deprecated in the AMS standard. Please pay attention to article format requirements when using it.
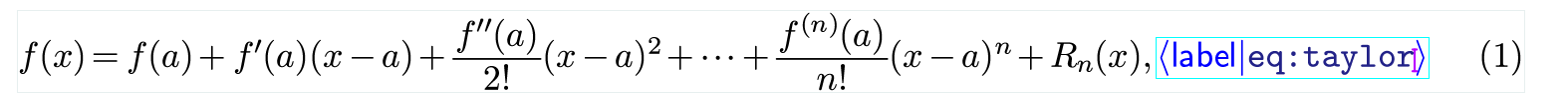
Multi-line Formula in align Format
Enter \align via keyboard and press Enter to insert the corresponding formula environment.
- Effect diagram:

- Comparison with LaTeX writing:latex
\begin{align*} \left.\nabla f(x_0)\right| &= D f_1(x_0, r(x_0)) \approx D f_1(x_0, y_0) \\ &= D_1 f_1(x_0, y_0) + D_2 f_1(x_0, y_0) D r(x_0) \end{align*}
Note: In this format, please enter symbols on the left side of the dividing line to ensure equal spacing on both sides of the symbols.
2 Formula Numbering and Referencing Methods
2.1 Single-line Formula Numbering
In Math Mode, click the 123 style numbering button in the Environment Toolbar to add numbering.

2.2 Multi-line Formula Numbering
2.2.1 Piecewise Function Numbering
Piecewise functions can be numbered either as a whole formula or by individual lines.
- If you directly select the formula and click the 123 style numbering button, the entire multi-line formula will be numbered.


- If you want to number individual lines in a multi-line formula separately, you need to enter the command
\eq-numberafter the single-line formula, then press Enter. The effect is shown below.


2.2.2 eqnarray Format and align Format Numbering
eqnarray format and align format can only be numbered by individual lines. The operation methods are largely similar.
- eqnarray format is similar to piecewise functions, and can use the
123button (same as 2.1) or the\eq-numbercommand for numbering.



- align format cannot use the
123button for numbering, but can use the\eq-numbercommand.

2.3 Formula Labeling
- In your formula environment, enter
\label, then pressEnter. - Enter a custom formula name, then press
Enteragain.

2.4 Formula Referencing
Use the \smart-ref command or the \reference command for referencing.

For more detailed tutorials, please refer to Numbered Content Labeling and References in Liii STEM.
3 Formula Quick Editing Methods
3.1 Lego Symbols
Generate new characters by combining characters. The combination rules use a graphical design approach, making it easy to remember and convenient for writing. For example:
<and>represent direction.@represents a circle.
| Symbol Effect | Liii STEM Lego Symbols | LaTeX Code |
|---|---|---|
| → | "-" + ">" | \rightarrow |
| ⇏ | "=" + ">" + "/" | \nRightarrow |
| ∞ | "@" + "@" | \infty |
| ∅ | "@" + "/" | \varnothing |
| ℝ | "R" + "R" | \mathbb{R} |
| ≐ | "." + "=" | \doteq |
| ... |
3.2 Tab Cycling
After typing a character, you can cycle through its similar symbols (such as ∀) or similarly shaped Greek letters (such as α) using the Tab key, and use Shift + Tab for reverse cycling. For example:
- Type
Aand pressTabtwice to get∀.
| Symbol Effect | Liii STEM Tab Cycling | LaTeX Code |
|---|---|---|
| ⟨ | "<" + "tab"*5 | \leangle |
| ⊏ | "<" + "tab"*4 | \sqsubset |
| α | "a" + "tab" | \alpha |
| ε | "e" + "tab" | \varepsilon |
| ∀ | "A" + "tab"*2 | \forall |
| ∃ | "E" + "tab"*2 | \lexists |
| ... |
3.3 Magic Paste
We support lossless copying of formulas from Large Language Models (LLMs) to Liii STEM's TMU documents.
- When copying content, use
Ctrl+Cor right-click and select copy, then directly paste into Liii STEM's text environment. - Do not use the copy buttons that come with the LLM output.
For specific usage methods, please refer to Liii STEM Magic Paste.

Note: More shortcut methods can be obtained through the following channels:
- Official documentation Liii STEM Keyboard Shortcuts
- Bilibili Mogan Community teaching video: Keyboard Shortcut Customization and Macro Definition Teaching